פּאַליגאַנעל נומערן
- מי אני
- שריפטשטעלער

- הודעות: 5784
- זיך רעגיסטרירט: פרייטאג אקטאבער 05, 2018 4:32 pm
- האט שוין געלייקט: 12391 מאל
- האט שוין באקומען לייקס: 8057 מאל
אפאר אינטרעסאנטע זאכן בנוגע טרייענגולער נומערן:
1). יעדעס [איִווען אויב עס איז בכלל דא אַן אַדד] פּערפעקט נומער איז אויך א טרייענגולער נומער.
און אין דעם ענליך צו ניכאמאכוס׳נס טעארעם איז אז יעדעס [איִווען אויב עס איז בכלל דא אַן אַדד פּערפעקט נומער], אחוץ די נומער 6, קען ווערן צאמגעשטעלט פון צאמ׳עדדן נאכאנאדע אַדד נומערן אין א רייע וואס זענען אלע קיוּבּד.
2). יעדע צוויי נאכאנאדע טרייענגולער נומערן וועלן צוזאמען זיין א סקווער נומער. למשל, 15 [די פיפטע טרייענגולער נומער] און 21 [די זעקסטע טרייענגולער נומער] זענען צוזאמען 36 וועלכעס איז א סקווער נומער.
3). עס איז נישטא א טרייענגולער נומער וואס איז פּריים אחוץ די נומער 3.
4). אויב מ׳נעמט 9 מאל א טרייענגולער נומער און מ׳לייגט צו דערצו 1, וועט דאס זיין נאך א טרייענגולער נומער. אויב נעמט מען 8 מאל א טרייענגולער נומער און מ׳לייגט צו דערצו 1, וועט דאס זיין א סקווער נומער.
5). עס זענען דא אַן אינפיניט צאל פון נומערן וואס זענען סיי א טרייענגולער נומער און סיי א סקווער נומער. די אלע גייען קענען ווערן דיוויידעד ביי 9 [אָן א רימעינדאר].
6). יעדעס נומער [גרעסער ווי 1] וואס ווערט געהעכערט צו אַן עקספּאָנענט פון 4, קען אויך ווערן צאמגעשטעלט ווי די סומע פון צוויי טרייענגולער נומערן.
7). אז איך עדד צוזאמען נומערן 9 וואס יעדעס איינס איז געהעכערט צו איין עקספּאָנענט מער ווי די פריערדיגע עקספּאָנענט (אָנגעהויבן פונעם עקספּאָנענט 0 וואס געבט מיר די נומער 1), איז ווי איך שטעל מיך נאר אפ וועט די סומע זיין עפעס א טרייענגולער נומער.
8). די אינטרעסאנטע פּעטערן:
1). יעדעס [איִווען אויב עס איז בכלל דא אַן אַדד] פּערפעקט נומער איז אויך א טרייענגולער נומער.
און אין דעם ענליך צו ניכאמאכוס׳נס טעארעם איז אז יעדעס [איִווען אויב עס איז בכלל דא אַן אַדד פּערפעקט נומער], אחוץ די נומער 6, קען ווערן צאמגעשטעלט פון צאמ׳עדדן נאכאנאדע אַדד נומערן אין א רייע וואס זענען אלע קיוּבּד.
2). יעדע צוויי נאכאנאדע טרייענגולער נומערן וועלן צוזאמען זיין א סקווער נומער. למשל, 15 [די פיפטע טרייענגולער נומער] און 21 [די זעקסטע טרייענגולער נומער] זענען צוזאמען 36 וועלכעס איז א סקווער נומער.
3). עס איז נישטא א טרייענגולער נומער וואס איז פּריים אחוץ די נומער 3.
4). אויב מ׳נעמט 9 מאל א טרייענגולער נומער און מ׳לייגט צו דערצו 1, וועט דאס זיין נאך א טרייענגולער נומער. אויב נעמט מען 8 מאל א טרייענגולער נומער און מ׳לייגט צו דערצו 1, וועט דאס זיין א סקווער נומער.
5). עס זענען דא אַן אינפיניט צאל פון נומערן וואס זענען סיי א טרייענגולער נומער און סיי א סקווער נומער. די אלע גייען קענען ווערן דיוויידעד ביי 9 [אָן א רימעינדאר].
6). יעדעס נומער [גרעסער ווי 1] וואס ווערט געהעכערט צו אַן עקספּאָנענט פון 4, קען אויך ווערן צאמגעשטעלט ווי די סומע פון צוויי טרייענגולער נומערן.
7). אז איך עדד צוזאמען נומערן 9 וואס יעדעס איינס איז געהעכערט צו איין עקספּאָנענט מער ווי די פריערדיגע עקספּאָנענט (אָנגעהויבן פונעם עקספּאָנענט 0 וואס געבט מיר די נומער 1), איז ווי איך שטעל מיך נאר אפ וועט די סומע זיין עפעס א טרייענגולער נומער.
8). די אינטרעסאנטע פּעטערן:
- מי אני
- שריפטשטעלער

- הודעות: 5784
- זיך רעגיסטרירט: פרייטאג אקטאבער 05, 2018 4:32 pm
- האט שוין געלייקט: 12391 מאל
- האט שוין באקומען לייקס: 8057 מאל
פּיטאגאָריען טריפּלס והמסתעף
ובנוגע פּיטאגראיען טריפּלס, והיינו א 90⁰ טרייענגעל וואס אירע זייטן זענען אינטעדזשער נומערן [נישט נאר רעשאנעל ווי פריער], איז דא א וועג ווי אזוי זיי צו טרעפן. דאס ארבעט אז איך וועהל א נומער פאר איין זייט פון 3 און העכער. אויב איז די נומער אַדד דאן סקווער איך דאס און איך נעם דערנאך האלב דערפון [אויב איז דאס נישט א גאנצע נומער ראַוּנד איך דאס אראפ צום גאנצן נומער און איגנאריר די פרעקשאן]. דאס גייט זיין מיין צווייטע זייט און 1 מער פון דעם גייט זיין די דריטע זייט/היפּאַטענוּס.
אויב איז די ערשטע זייט/נומער אַן איִווען נומער דאן דיווייד איך דאס אין האלב און דערנאך סקווער איך עס. איינס ווייניגער ווי דעם וועט זיין מיין צווייטע זייט און איינס מער דערפון מיין דריטע זייט/היפּאַטענוּס.
טרייענגעלס וואס זענען נישט ״רייט״/90⁰ און אלע זייטן זענען גאנצע אינטעדזשערס [ווי אויך איר עריע], ווערן זיי גערופן העראָניען טרייענגעלס. עס וועט אויסקומען אז די פּערימעטער ארום דעם [די לענג פון אלע ווענט צוזאמען] וועט אלס זיין אַן איִווען נומער. ווי אויך גייט איר עריע אלס קענען ווערן דיוויידעד ביי 6 אָן א רימעינדאר. אין 3D, א טעטראָהיִדראָן/פּערפעקט פּיראמיד, גייט עס זיין העראָניען אויב אירע זייטן, פנימ׳ער, און וואַליוּם דערין זענען אלע גאנצע אינטעדזשער נומערן. אלע 2D פנימ׳ער דערפון גייען דאן ע״כ מוזן זיין העראָניען טרייענגעלס.
אז מ׳טוהט עקסטענדן דעם פּיטאגראיען טעארעם צו העכערע דיימענשאנס קומט אויס אז עס איז כולל אין זיך מער. והיינו, ביי די 3D קיוּבּוֺיד:
איז די שיפקייט פון איין עק אונטן ביז׳ן עק אויבן קעגנאיבער, באצייכענט אלס d, א היפּאַטענוּס פון א טרייענגעל געשטעלט אין די שיפקייט; די לייט-גרעי 2D טרייענגעל אינעם בילד. די קורצע פיס פון אט די טרייענגעל, באצייכענט אלס x, איז אליינס די היפּאַטענוּס פון די 2D טרייענגעל וואס איז אויף די פלאכקייט פונעם 3D קיוּבּוֺיד; די שטארק טונקעלע טרייענגעל אינעם בילד. קומט דאך אויס, עפ״י דעם פּיטאגראיען טעארעם, אז די קורצע פיס פון דעם גרעסערן לייט-גרעי טרייענגעל איז אליינס אזוי גרויס ווי ביידע קלענערע סקווערס פונעם טונקעלע טרייענגעל. און ביי די לייט-גרעי טרייענגעל וועט דאך איר שיפקייט/היפּאַטענוּס זיין אזוי גרויס ווי ביידע סקווערס פון סיי x, וואס איז שוין כולל אין זיך ביידע סקווערס פונעם קליינעם טונקעלע כנ״ל, מיט די הויכקייט פונעם קיוּבּוֺיד. וממילא איז די פּיטאגראיען טעארעם פון די שיפקייט פון די קיוּבּוֺיד וואס איז כולל הן די הויכקייט און הן די טיפקייט:
a² + b² + x² = d²
עס איז כולל אין זיך פיר טערמינען. דאס קען ווערן עקסטענדעד צו העכערע דיימענשאנס, וואו די ״שיפקייט/היפּאַטענוּס״ איז אין יענע עקסטערע דיימענשאן, וואו עס וועט כולל זיין נאך א טערמין - פינעף ביי 4D, זעקס ביי 5D וכן הלאה כנ״ל.
און אין דעם, און אז מ׳האט דערמאנט פּלעטאַניק סאַלידס איז דא אין דעם, ביי טעטראָהיִדראָנס, דע גאַוּ׳ס טעארעם. דאס לויטעט אז אויב איך האב א טעטראָהיִדראָן וואס דריי פון אירע זייטן זענען רייט [90⁰] טרייענגעלס, אויב עס איז למשל ״אפגעשניטן״ פון די עק פון א קיוּבּוֺיד כזה:
דאן וועט די סקווער פון די עריע פון די [גרעסערע] זייט וואס איז נישט רייט [90⁰; וואס איז באדעקט אינעם בילד/מקום החתך] זיין די סומע פון די עריע סקווערד פונעם ערשטן רייט זייט, צוזאמען מיט די עריע סקווערד פונעם צווייטן רייט זייט, און צוזאמען מיט די עריע סקווערד פונעם דריטן רייט זייט. (דאס קען מען אויך דזשענערעלייזן צו העכערע דיימענשאנס וכעין כנ״ל.)
אויב איז די ערשטע זייט/נומער אַן איִווען נומער דאן דיווייד איך דאס אין האלב און דערנאך סקווער איך עס. איינס ווייניגער ווי דעם וועט זיין מיין צווייטע זייט און איינס מער דערפון מיין דריטע זייט/היפּאַטענוּס.
טרייענגעלס וואס זענען נישט ״רייט״/90⁰ און אלע זייטן זענען גאנצע אינטעדזשערס [ווי אויך איר עריע], ווערן זיי גערופן העראָניען טרייענגעלס. עס וועט אויסקומען אז די פּערימעטער ארום דעם [די לענג פון אלע ווענט צוזאמען] וועט אלס זיין אַן איִווען נומער. ווי אויך גייט איר עריע אלס קענען ווערן דיוויידעד ביי 6 אָן א רימעינדאר. אין 3D, א טעטראָהיִדראָן/פּערפעקט פּיראמיד, גייט עס זיין העראָניען אויב אירע זייטן, פנימ׳ער, און וואַליוּם דערין זענען אלע גאנצע אינטעדזשער נומערן. אלע 2D פנימ׳ער דערפון גייען דאן ע״כ מוזן זיין העראָניען טרייענגעלס.
אז מ׳טוהט עקסטענדן דעם פּיטאגראיען טעארעם צו העכערע דיימענשאנס קומט אויס אז עס איז כולל אין זיך מער. והיינו, ביי די 3D קיוּבּוֺיד:
איז די שיפקייט פון איין עק אונטן ביז׳ן עק אויבן קעגנאיבער, באצייכענט אלס d, א היפּאַטענוּס פון א טרייענגעל געשטעלט אין די שיפקייט; די לייט-גרעי 2D טרייענגעל אינעם בילד. די קורצע פיס פון אט די טרייענגעל, באצייכענט אלס x, איז אליינס די היפּאַטענוּס פון די 2D טרייענגעל וואס איז אויף די פלאכקייט פונעם 3D קיוּבּוֺיד; די שטארק טונקעלע טרייענגעל אינעם בילד. קומט דאך אויס, עפ״י דעם פּיטאגראיען טעארעם, אז די קורצע פיס פון דעם גרעסערן לייט-גרעי טרייענגעל איז אליינס אזוי גרויס ווי ביידע קלענערע סקווערס פונעם טונקעלע טרייענגעל. און ביי די לייט-גרעי טרייענגעל וועט דאך איר שיפקייט/היפּאַטענוּס זיין אזוי גרויס ווי ביידע סקווערס פון סיי x, וואס איז שוין כולל אין זיך ביידע סקווערס פונעם קליינעם טונקעלע כנ״ל, מיט די הויכקייט פונעם קיוּבּוֺיד. וממילא איז די פּיטאגראיען טעארעם פון די שיפקייט פון די קיוּבּוֺיד וואס איז כולל הן די הויכקייט און הן די טיפקייט:
a² + b² + x² = d²
עס איז כולל אין זיך פיר טערמינען. דאס קען ווערן עקסטענדעד צו העכערע דיימענשאנס, וואו די ״שיפקייט/היפּאַטענוּס״ איז אין יענע עקסטערע דיימענשאן, וואו עס וועט כולל זיין נאך א טערמין - פינעף ביי 4D, זעקס ביי 5D וכן הלאה כנ״ל.
און אין דעם, און אז מ׳האט דערמאנט פּלעטאַניק סאַלידס איז דא אין דעם, ביי טעטראָהיִדראָנס, דע גאַוּ׳ס טעארעם. דאס לויטעט אז אויב איך האב א טעטראָהיִדראָן וואס דריי פון אירע זייטן זענען רייט [90⁰] טרייענגעלס, אויב עס איז למשל ״אפגעשניטן״ פון די עק פון א קיוּבּוֺיד כזה:
דאן וועט די סקווער פון די עריע פון די [גרעסערע] זייט וואס איז נישט רייט [90⁰; וואס איז באדעקט אינעם בילד/מקום החתך] זיין די סומע פון די עריע סקווערד פונעם ערשטן רייט זייט, צוזאמען מיט די עריע סקווערד פונעם צווייטן רייט זייט, און צוזאמען מיט די עריע סקווערד פונעם דריטן רייט זייט. (דאס קען מען אויך דזשענערעלייזן צו העכערע דיימענשאנס וכעין כנ״ל.)
- מי אני
- שריפטשטעלער

- הודעות: 5784
- זיך רעגיסטרירט: פרייטאג אקטאבער 05, 2018 4:32 pm
- האט שוין געלייקט: 12391 מאל
- האט שוין באקומען לייקס: 8057 מאל
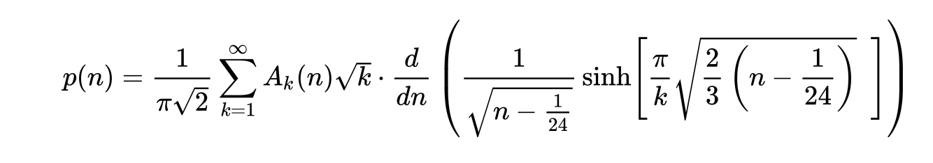
דעדעקינד סומעס און די ראַמאַנוּזשאַן-האַרדי-ראַדעמאַכער פארמ
לגבי פּאַרטישאנס איז טאמער וויל מען וויסן וויפיל קאַמבּינעישאנס עס איז דא, וואו די סדר אין ארויסשרייבן די נומערן מאכן נישט אויס (ועיין כאן), דאן איז דא דערין די ראַמאַנוּזשאַן-האַרדי-ראַדעמאַכער פארמולא. דאס איז א קאמפליצירטע סיריִס וואס געבט אַן approximate ענטפער דערצו.
דאס ארבעט עפ״י די געדאנק פון א דעדעקינד סומע. דאס איז אז ווען איך האב צוויי נומערן וואס זענען קאָפּריים, והיינו אז זיי האבן נישט קיינע אייניגע נומערן (חוץ די נומער 1) וואס קען זיי ביידע דיוויידן אָן א רימעינדאר, דאן נעם איך די סיריִס אָנגעהויבן פון 1 ביז 1 ווייניגער פונעם צווייטן נומער איך האב געוועהלט און איך עדד זיי צאם על זה הדרך: די נומער וואו איך האלט יעצט טיימס π דיוויידעד ביי די צווייטע נומער איך האב געוועהלט, און דערנאך נעם איך די קאָטענדזשענט דערפון פון די ענגעל מיט די וועליוּ [אין רעידיענס] (והיינו די רעישׁיאוֺ פון זייט נעבן די ענגעל צום/דיוויידעד ביים זייט קעגנאיבער איר ווען דאס זאל ווען זיין ביי א רייט טרייענגעל). דערנאך מאָלטיפּליי איך דאס ביים קאָטענדזשענט פון די נומער וואו איך האלט יעצט טיימס π טיימס די ערשטע נומער איך האב געוועהלט דיוויידעד ביים צווייטן נומער איך האב געוועהלט. און די פראצעדור טוה איך ביי יעדן נומער איך האלט אינעם סיריִס און דאס אלעס עדד איך צאם. דערנאך מאָלטיפּליי איך דאס אלעס ביי 1 דיוויידעד ביי 4 מאל די צווייטע נומער איך האב געוועהלט. יעצט, די ראַמאַנוּזשאַן-האַרדי-ראַדעמאַכער פארמולא ארבעט אז איך נעם די סיריִס אָנגעהויבן פון 1 ביז אינפיניטי פון די נומער וואס איך וויל וויסן די צאל פון אירע פּאַרטישאנס. ביי יעדעס נומער ווי איך האלט וועל איך אליין צאמרעכענען די סיריִס פון אלע נומערן ביז איר וואס זענען קאָפּריים צו איר ועל דרך זה ביי יעדעס איינס: זייער דעדעקינד סומע (וואס איז אליינס א סיריִס וכנ״ל) וואו די קאָפּריים איז די ערשטע נומער און די נומער איך האלט יעצט (פונעם ערשטן סיריִס) איז די צווייטע, און די דעדעקינד סומע מיינוס 2 מאל די נומער איך וויל געוואור ווערן די פּאַרטישאן פון טיימס די קאָפּריים און דיוויידעד ביים נומער איך האלט יעצט. דאס גיי איך מאָלטיפּלייען ביי π און ביי i און דאס געבן אלס די עקספּאָנענט צו אוילער׳ס נומער e (ועיין כאן בענין אוילער׳ס אידענטיטעט). אזוי טוה איך ביי יעדעס קאָפּריים. דאס וואס איך באקום פון די עקספּאָנענשיעישאן (ביי יעדעס קאָפּריים, פאר׳ן אלעס צאמעדדן) מאָלטיפּליי איך ביים סקווער רוּט פונעם נומער וואס איך האלט יעצט אינעם סיריִס מעיקרא. דערנאך דיוויידעד איך π ביים נומער וואו איך האלט יעצט און איך מאָלטיפּליי דאס ביי די סקווער רוּט פון צוויי דריטל פון די נומער וואס איך וויל וויסן די צאל פון אירע פּאַרטישאנס מיינוס א פיר-און-צוואנציגסטל. דאס וואס איך באקום דערפון נעם די הייפּערבּאליק סיין דערפון (וואו אנשטאט רעכענען די סיין פון די ענגעל אויף א טרייענגעל ביחס צו וואו איך שאף דאס בתוך א סירקעל, רעכען איך עס ביחס צו וואו איך שאף דאס אויף די זייט פון א הייפּערבּאלא). דערנאך מאָלטיפּליי איך דאס ביי 1 דיוויידעד די סקווער רוּט די נומער וואס איך וויל וויסן די צאל פון אירע פּאַרטישאנס מיינוס א פיר-און-צוואנציגסטל. דערנאך נעם איך די דעריוועטיוו פון דאס אלעס. דאס אלעס טוה איך ביי יעדעס קאָפּריים וואו איך האלט און דערנאך עדד איך דאס אלעס צאם. און די גאנצע פראצעדור טוה איך ביי יעדעס נומער וואו איך האלט אָנגעהויבן פון 1 און דאס אלעס עדד איך צאם. (עס איז אבער א קאנווערדזשענט סיריִס.) און דערנאך מאָלטיפּליי איך דאס ביי 1 דיוויידעד ביי π טיימס די סקווער רוּט פון 2. דאס איז מקושר צו אוילער׳ס פּענטאגענאל נומער טעארעם.
דאס ארבעט עפ״י די געדאנק פון א דעדעקינד סומע. דאס איז אז ווען איך האב צוויי נומערן וואס זענען קאָפּריים, והיינו אז זיי האבן נישט קיינע אייניגע נומערן (חוץ די נומער 1) וואס קען זיי ביידע דיוויידן אָן א רימעינדאר, דאן נעם איך די סיריִס אָנגעהויבן פון 1 ביז 1 ווייניגער פונעם צווייטן נומער איך האב געוועהלט און איך עדד זיי צאם על זה הדרך: די נומער וואו איך האלט יעצט טיימס π דיוויידעד ביי די צווייטע נומער איך האב געוועהלט, און דערנאך נעם איך די קאָטענדזשענט דערפון פון די ענגעל מיט די וועליוּ [אין רעידיענס] (והיינו די רעישׁיאוֺ פון זייט נעבן די ענגעל צום/דיוויידעד ביים זייט קעגנאיבער איר ווען דאס זאל ווען זיין ביי א רייט טרייענגעל). דערנאך מאָלטיפּליי איך דאס ביים קאָטענדזשענט פון די נומער וואו איך האלט יעצט טיימס π טיימס די ערשטע נומער איך האב געוועהלט דיוויידעד ביים צווייטן נומער איך האב געוועהלט. און די פראצעדור טוה איך ביי יעדן נומער איך האלט אינעם סיריִס און דאס אלעס עדד איך צאם. דערנאך מאָלטיפּליי איך דאס אלעס ביי 1 דיוויידעד ביי 4 מאל די צווייטע נומער איך האב געוועהלט. יעצט, די ראַמאַנוּזשאַן-האַרדי-ראַדעמאַכער פארמולא ארבעט אז איך נעם די סיריִס אָנגעהויבן פון 1 ביז אינפיניטי פון די נומער וואס איך וויל וויסן די צאל פון אירע פּאַרטישאנס. ביי יעדעס נומער ווי איך האלט וועל איך אליין צאמרעכענען די סיריִס פון אלע נומערן ביז איר וואס זענען קאָפּריים צו איר ועל דרך זה ביי יעדעס איינס: זייער דעדעקינד סומע (וואס איז אליינס א סיריִס וכנ״ל) וואו די קאָפּריים איז די ערשטע נומער און די נומער איך האלט יעצט (פונעם ערשטן סיריִס) איז די צווייטע, און די דעדעקינד סומע מיינוס 2 מאל די נומער איך וויל געוואור ווערן די פּאַרטישאן פון טיימס די קאָפּריים און דיוויידעד ביים נומער איך האלט יעצט. דאס גיי איך מאָלטיפּלייען ביי π און ביי i און דאס געבן אלס די עקספּאָנענט צו אוילער׳ס נומער e (ועיין כאן בענין אוילער׳ס אידענטיטעט). אזוי טוה איך ביי יעדעס קאָפּריים. דאס וואס איך באקום פון די עקספּאָנענשיעישאן (ביי יעדעס קאָפּריים, פאר׳ן אלעס צאמעדדן) מאָלטיפּליי איך ביים סקווער רוּט פונעם נומער וואס איך האלט יעצט אינעם סיריִס מעיקרא. דערנאך דיוויידעד איך π ביים נומער וואו איך האלט יעצט און איך מאָלטיפּליי דאס ביי די סקווער רוּט פון צוויי דריטל פון די נומער וואס איך וויל וויסן די צאל פון אירע פּאַרטישאנס מיינוס א פיר-און-צוואנציגסטל. דאס וואס איך באקום דערפון נעם די הייפּערבּאליק סיין דערפון (וואו אנשטאט רעכענען די סיין פון די ענגעל אויף א טרייענגעל ביחס צו וואו איך שאף דאס בתוך א סירקעל, רעכען איך עס ביחס צו וואו איך שאף דאס אויף די זייט פון א הייפּערבּאלא). דערנאך מאָלטיפּליי איך דאס ביי 1 דיוויידעד די סקווער רוּט די נומער וואס איך וויל וויסן די צאל פון אירע פּאַרטישאנס מיינוס א פיר-און-צוואנציגסטל. דערנאך נעם איך די דעריוועטיוו פון דאס אלעס. דאס אלעס טוה איך ביי יעדעס קאָפּריים וואו איך האלט און דערנאך עדד איך דאס אלעס צאם. און די גאנצע פראצעדור טוה איך ביי יעדעס נומער וואו איך האלט אָנגעהויבן פון 1 און דאס אלעס עדד איך צאם. (עס איז אבער א קאנווערדזשענט סיריִס.) און דערנאך מאָלטיפּליי איך דאס ביי 1 דיוויידעד ביי π טיימס די סקווער רוּט פון 2. דאס איז מקושר צו אוילער׳ס פּענטאגענאל נומער טעארעם.
- מי אני
- שריפטשטעלער

- הודעות: 5784
- זיך רעגיסטרירט: פרייטאג אקטאבער 05, 2018 4:32 pm
- האט שוין געלייקט: 12391 מאל
- האט שוין באקומען לייקס: 8057 מאל
אפלטון׳ס נומער
אפלטון אין זיין רעפּאָבּליק דערמאנט עפעס ברמיזה א געוויסע נומער. אסאך פירושים זענען געזאגט געווארן אויף צו מסביר זיין וואס ער מיינט און וואס איז ״אפלטון׳ס נומער. וואס א גרויס חלק מפרשים האלטן אז ער מיינט איז די פּיטאגאָריען טריפּל (וואו דריי נומערן, יעדעס איינס געהעכערט צו אַן עקספּאָנענט פון 3, צוזאמען קומען אויס צו א פערטע נומער געהעכערט צו 3):
אין דעם זענען זיי דאך פיר נומערן אין א רייע.
- מי אני
- שריפטשטעלער

- הודעות: 5784
- זיך רעגיסטרירט: פרייטאג אקטאבער 05, 2018 4:32 pm
- האט שוין געלייקט: 12391 מאל
- האט שוין באקומען לייקס: 8057 מאל
לאנדער, פּאַרקין, און סעלפרידזש קאָנדזשעקטשור והמסתעף
לגבי סומעס פון פּאַוּערס און אביסל ענליך צו פערמאט׳ס לעצטע טעארעם איז דא דאס וואס לעאנהערד אוילער האט קאנדזשעקטשורד. דאס איז אז אויב זענען דא א צאל גאנצע אינטעדזשערס וואס איך עדד צוזאמען וואס אלע נומערן זענען געהעכערט צו עפעס אַן עקספּאָנענט, און די סומע דערפון איז א גאנצע אינטעדזשער געהעכערט צו אט דעם עקספּאָנענט, דאן איז די צאל נומערן וואס איך עדד צוזאמען כאטשיג אזוי גרויס ווי די עקספּאָנענט.
מ׳האט אבער געוואוזן אז הגם דאס איז אמת פאר וואו די עקספּאָנענטס זענען 2 אדער 3 איז דאס אבער נישט אמת פאר וואו די עקספּאָנענטס זענען 4 אדער 5: מ׳ווייסט נישט צי דאס איז יא אדער נישט אמת פאר עקספּאָנענטס פון 6 און העכער.
וע״ע כאן, וכאן, וכאן אודות טעקסיקעבּ נומערן והמסתעף.
אויסגעברייטערט אין דעם איז דא די לאנדער, פּאַרקין, און סעלפרידזש קאָנדזשעקטשור. דאס לויטעט אז אויב האב איך צוויי אנדערע סעטס פון פּאזיטיווע אינטעדזשערס וואס קיין איינס אין איין סעט איז נישט דומה צום צווייטן סעט, און איך העכער יעדעס נומער און ביידע סעטס צום זעלבן אינטעדזשער, און ווען איך רעכן צאם די צאל אין איין סעט איז עס די זעלבע ווי די סומע פונעם צווייטן סעט, דאן מוז זיין אז די צאל נומערן פונעם ערשטן סעט מיט די צאל נומערן פונעם צווייטן סעט זענען כאטשיג אזוי גרויס ווי די עקספּאָנענט וואס מ׳האט גענוצט. ענליך צו דעם אלעם איז דא די פּראַוּהעט-טערי-עסקאַט פראבלעם. דאס בעהט אז מ׳זאל טרעפן צוויי סעטס מיט די זעלבע צאל נומערן (אבער אנדערע נומערן אין יעדעס סעט [זיי זענען דיסדזשוינט סעטס]) וואס ווען איך העכער אלע נומערן צום זעלבן פּאַוּער, נישט קיין חילוק וועלכע פּאַוּער אין א רייע ביז א געוויסע פּאַוּער, זאל די סומע פון יעדעס סעט צוזאמען זיין דאס זעלבע. עס מוז זיין אז די צאל נומערן מוזן זיין גרעסער ווי די גרעסטע עקספּאָנענט וואס מ׳גייט נוצן. דא איז א משל פון צוויי סעטס פון זעקס נומערן אין יעדעס איינס: מ׳קען נוצן דעם טוּ-מאָרס סיִקווענס צו טרעפן solutions דערצו. די סיִקווענס ארבעט אז מ׳הייבט אָן פונעם ערשטן נומער. אויב ווען מ׳שרייבט דאס אין בּיינערי האט עס אַן אַדד צאל 1׳ס געבט מען דאס אַן ״1״, עס איז אַן אוֺידיִאוס נומער, און אויב האט דאס אַן איִווען צאל 1׳ס געבט מען דאס א 0, עס איז אַן איִוועל נומער.
עפי״ז קען מען טרעפן א solution צום פּראַוּהעט-טערי-עסקאַט פראבלעם, ווען מען וועהלט זיך עני נומער פאר׳ן עקספּאָנענט וואס עפי״ז וועט מען זיך וועהלן א צאל נומערן וואס וועלן זיין אין יעדעס סעט. דאס איז אז מען געבט דעם עקספּאָנענט צו 2 (א פּאַוּער פון 2) און די אויסקום איז די צאל נומערן פון יעדעס סעט. דערנאך הייב איך אָן די נומערן אין א רייע פון 0 ביז איינס ווייניגער ווי 2 געהעכערט צו אַן עקספּאָנענט פון איינס העכער די עקספּאָנענט איך האב געוועהלט. דערנאך, אלע אוֺידיִאוס נומערן אין די רייע לייג איך אריין אין איין סעט און אלע איִוועל נומערן אינעם אנדערן.
מ׳האט אבער געוואוזן אז הגם דאס איז אמת פאר וואו די עקספּאָנענטס זענען 2 אדער 3 איז דאס אבער נישט אמת פאר וואו די עקספּאָנענטס זענען 4 אדער 5: מ׳ווייסט נישט צי דאס איז יא אדער נישט אמת פאר עקספּאָנענטס פון 6 און העכער.
וע״ע כאן, וכאן, וכאן אודות טעקסיקעבּ נומערן והמסתעף.
אויסגעברייטערט אין דעם איז דא די לאנדער, פּאַרקין, און סעלפרידזש קאָנדזשעקטשור. דאס לויטעט אז אויב האב איך צוויי אנדערע סעטס פון פּאזיטיווע אינטעדזשערס וואס קיין איינס אין איין סעט איז נישט דומה צום צווייטן סעט, און איך העכער יעדעס נומער און ביידע סעטס צום זעלבן אינטעדזשער, און ווען איך רעכן צאם די צאל אין איין סעט איז עס די זעלבע ווי די סומע פונעם צווייטן סעט, דאן מוז זיין אז די צאל נומערן פונעם ערשטן סעט מיט די צאל נומערן פונעם צווייטן סעט זענען כאטשיג אזוי גרויס ווי די עקספּאָנענט וואס מ׳האט גענוצט. ענליך צו דעם אלעם איז דא די פּראַוּהעט-טערי-עסקאַט פראבלעם. דאס בעהט אז מ׳זאל טרעפן צוויי סעטס מיט די זעלבע צאל נומערן (אבער אנדערע נומערן אין יעדעס סעט [זיי זענען דיסדזשוינט סעטס]) וואס ווען איך העכער אלע נומערן צום זעלבן פּאַוּער, נישט קיין חילוק וועלכע פּאַוּער אין א רייע ביז א געוויסע פּאַוּער, זאל די סומע פון יעדעס סעט צוזאמען זיין דאס זעלבע. עס מוז זיין אז די צאל נומערן מוזן זיין גרעסער ווי די גרעסטע עקספּאָנענט וואס מ׳גייט נוצן. דא איז א משל פון צוויי סעטס פון זעקס נומערן אין יעדעס איינס: מ׳קען נוצן דעם טוּ-מאָרס סיִקווענס צו טרעפן solutions דערצו. די סיִקווענס ארבעט אז מ׳הייבט אָן פונעם ערשטן נומער. אויב ווען מ׳שרייבט דאס אין בּיינערי האט עס אַן אַדד צאל 1׳ס געבט מען דאס אַן ״1״, עס איז אַן אוֺידיִאוס נומער, און אויב האט דאס אַן איִווען צאל 1׳ס געבט מען דאס א 0, עס איז אַן איִוועל נומער.
עפי״ז קען מען טרעפן א solution צום פּראַוּהעט-טערי-עסקאַט פראבלעם, ווען מען וועהלט זיך עני נומער פאר׳ן עקספּאָנענט וואס עפי״ז וועט מען זיך וועהלן א צאל נומערן וואס וועלן זיין אין יעדעס סעט. דאס איז אז מען געבט דעם עקספּאָנענט צו 2 (א פּאַוּער פון 2) און די אויסקום איז די צאל נומערן פון יעדעס סעט. דערנאך הייב איך אָן די נומערן אין א רייע פון 0 ביז איינס ווייניגער ווי 2 געהעכערט צו אַן עקספּאָנענט פון איינס העכער די עקספּאָנענט איך האב געוועהלט. דערנאך, אלע אוֺידיִאוס נומערן אין די רייע לייג איך אריין אין איין סעט און אלע איִוועל נומערן אינעם אנדערן.
- מי אני
- שריפטשטעלער

- הודעות: 5784
- זיך רעגיסטרירט: פרייטאג אקטאבער 05, 2018 4:32 pm
- האט שוין געלייקט: 12391 מאל
- האט שוין באקומען לייקס: 8057 מאל
לכאורה ווייל במושכל ראשון וואלט מען געקלערט אז דאס צו מאכן דארף די איבעריגע פינטל דוקא יא פלאצירט ווערן אינדערמיט. וויבאלד סתם אזוי וואלט דאך געפעהלט איין פינטל עס צו מאכן א פונקטליכע סקווער ברבוע. ולכן וואלט מען געקענט קלערן אז די טרייענגלס נעמען עס ארום ביי די עקן ביז מ'קומט צו צו אינדערמיט, וואס אט דארט לייגט מען צו די איין איבעריגע פינטל וואס פעהלט כדי דאס צו מאכן א סקווער.
ולגבי פארשטיין די אשכול קען מען זאגן בדרך צחות אז דער רמב"ם במו"נ (ח"ג פ"ח) איז מדמה חומר צו אַן אשה וואס דארף אלס די צורה שהוא בעלה. און די חומר איז אזוי ווי אַן אשת איש וואס וויל מזנה זיין, וויבאלד זי זוכט אלס אַן אנדערן צורה ע"ש. נו, די פסוק זאגט אין קהלת (ז כו-כז) ומוצא אני מר ממות את האשה אשר היא מצודים וחרמים לבה אסורים ידיה טוב לפני האלקים ימלט ממנה וחוטא ילכד בה, והיינו די אשת איש וואס וויל מזנה זיין מיט אַן אנדערן "צורה" [שׁעיפּ]. און דער פסוק איז ממשיך, ראה זה מצאתי אמרה קהלת אחת לאחת למצא חשבון, והיינו בענין זה, ה"צורה", איז דאך דאס אויך שייך בענין חשבון ומספר. און ער איז ממשיך דערנאך (נאכ'ן איבער'חזר'ן), מי כהחכם ומי יודע...
ולגבי פארשטיין די אשכול קען מען זאגן בדרך צחות אז דער רמב"ם במו"נ (ח"ג פ"ח) איז מדמה חומר צו אַן אשה וואס דארף אלס די צורה שהוא בעלה. און די חומר איז אזוי ווי אַן אשת איש וואס וויל מזנה זיין, וויבאלד זי זוכט אלס אַן אנדערן צורה ע"ש. נו, די פסוק זאגט אין קהלת (ז כו-כז) ומוצא אני מר ממות את האשה אשר היא מצודים וחרמים לבה אסורים ידיה טוב לפני האלקים ימלט ממנה וחוטא ילכד בה, והיינו די אשת איש וואס וויל מזנה זיין מיט אַן אנדערן "צורה" [שׁעיפּ]. און דער פסוק איז ממשיך, ראה זה מצאתי אמרה קהלת אחת לאחת למצא חשבון, והיינו בענין זה, ה"צורה", איז דאך דאס אויך שייך בענין חשבון ומספר. און ער איז ממשיך דערנאך (נאכ'ן איבער'חזר'ן), מי כהחכם ומי יודע...
- מי אני
- שריפטשטעלער

- הודעות: 5784
- זיך רעגיסטרירט: פרייטאג אקטאבער 05, 2018 4:32 pm
- האט שוין געלייקט: 12391 מאל
- האט שוין באקומען לייקס: 8057 מאל
זאגסט, די גמרא זאגט דאך אין פסחים קד. 
זאגסט אויך, (קהלת ה ט) אוהב כסף לא ישבע כסף ומי אוהב בהמון וגו'. אויב געבט מען נישט קיין המון "לייקס" ("אוהב") פאר דעם, זאל מען געבן "כסף"?...
איז לגבי די "אחת" ונהגו לומר "שלש", מיינענדיג, וואו מ'דארף צולייגן נאך "איין" פונקט נאך דעם וואס מ'שטעלט אויס די טרייענגולאר/"שלש" נומערן דערין, בין איך אבער נישט קיין "בנש"ק" וואס איז נישט מסתכל ב"צורתא" ("צורה" = שׁעיפּ) דזוזא...א"ר יוחנן בנן של קדושים אומר אחת ונהגו העם לומר שלש מאן ניהו בנן של קדושים רבי מנחם בר סימאי ואמאי קרו ליה בנן של קדושים דלא איסתכל בצורתא דזוזא
זאגסט אויך, (קהלת ה ט) אוהב כסף לא ישבע כסף ומי אוהב בהמון וגו'. אויב געבט מען נישט קיין המון "לייקס" ("אוהב") פאר דעם, זאל מען געבן "כסף"?...
- מי אני
- שריפטשטעלער

- הודעות: 5784
- זיך רעגיסטרירט: פרייטאג אקטאבער 05, 2018 4:32 pm
- האט שוין געלייקט: 12391 מאל
- האט שוין באקומען לייקס: 8057 מאל
לגבי דעם אייקאסעהידראן און דעם גאָלדען רעישׁיאוֺ:
און אז מ׳רעדט שוין:
***
ולגבי פערמאט'ס לעצטע טעארעם און טעקסיקעבּ נומערן שרייבט דער מאטעמאטיקער דר. קרישנאַסוואַמי אַלאַדי: גוטע שאלות וקושיות קענען נאך זיין פונקט אזוי גוט און וויכטיג ווי תירוצים.
ולגבי פערמאט'ס לעצטע טעארעם און טעקסיקעבּ נומערן שרייבט דער מאטעמאטיקער דר. קרישנאַסוואַמי אַלאַדי: גוטע שאלות וקושיות קענען נאך זיין פונקט אזוי גוט און וויכטיג ווי תירוצים.
- מי אני
- שריפטשטעלער

- הודעות: 5784
- זיך רעגיסטרירט: פרייטאג אקטאבער 05, 2018 4:32 pm
- האט שוין געלייקט: 12391 מאל
- האט שוין באקומען לייקס: 8057 מאל
דא האב איך צוגעברענגט דעם געדאנק פונעם קאטש סנויפלעיק אינעם סוגיא פון פרעקטעלס:
עס איז אינטרעסאנט צו באמערקן אז אויב טוהט מען דעם פּראצעדור אין 3D מיט א טעטראַהיִדראַן אַן אינפיניט צאל מאל, קומט עס צום סוף אויס צו א קיוּבּ (אַן אנדערע פּלעטאַניק סאַליד).מי אני האט געשריבן:אין פרעקטעלס איז א קאטש סנויפלעיק א טרייענגעל וואס נאכדעם יעדע (גראדע) זייט צוטייל איך אין דריי און איך לייג צו נאך א חלק א דריטל, און איך בייג ארויף די מיטעלסטע צוויי חלקים. איך טוה דאס נאכדעם איבער און איבער (זעה בילד אין לינק). עס וועט אויסקומען אז די שעיפ, א סנויפלעיק, וועט האבן א פיניט עריע אבער אן אינפיניט פערימעטער.
די ערשטע מאל וואס מ׳טוהט די פראצעדור צו א טרייענגעל ווערט דאס א מגן דוד.
-
זיצער
- מאנשי שלומינו

- הודעות: 39
- זיך רעגיסטרירט: פרייטאג מערץ 31, 2023 4:02 pm
- האט שוין געלייקט: 35 מאל
- האט שוין באקומען לייקס: 55 מאל
שיינט מיר מער אויס ווי אן אחוזת עניים ווי אלס מושכל ראשון. די וויזשיאל פיקטשער האט אויסגעשטעלט נומערן פון א Equilateral triangle און פארעמס פון העלף סקווער טרייענגל. צו פארבלענדען אז דאס קען זיך פארן אלס סקווער. קוק אויף די בילד, די אלע טרייענגלס צורה (נישט די פינטעליך) איז א 45, 45, 90 , בעת אן עכטע Equilateral triangle איז אייביג 60 דעגרי איבעראל.מי אני האט געשריבן:לכאורה ווייל במושכל ראשון וואלט מען געקלערט אז דאס צו מאכן דארף די איבעריגע פינטל דוקא יא פלאצירט ווערן אינדערמיט. וויבאלד סתם אזוי וואלט דאך געפעהלט איין פינטל עס צו מאכן א פונקטליכע סקווער ברבוע. ולכן וואלט מען געקענט קלערן אז די טרייענגלס נעמען עס ארום ביי די עקן ביז מ'קומט צו צו אינדערמיט, וואס אט דארט לייגט מען צו די איין איבעריגע פינטל וואס פעהלט כדי דאס צו מאכן א סקווער.
-
זיצער
- מאנשי שלומינו

- הודעות: 39
- זיך רעגיסטרירט: פרייטאג מערץ 31, 2023 4:02 pm
- האט שוין געלייקט: 35 מאל
- האט שוין באקומען לייקס: 55 מאל
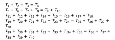
כפארשטיי אז 10 איז מעצמו א טרייענגלער נומער. אבער עס אריינלייגן און די שעיפ איז פשוט פארפירערד
מיט וואס איז דער בילד טרייענגל נומער? ווייל עס ליגט און א שעיפ פון א טרייענגל און סאיז 10? די רעכטע זייט פונעם טרייענגל מצד זיין מקום פארנעמט מער פון פיר. ממילא רעפרעזענט דער 'בילד' נישט קיין באמת קיין טרייענגלער נומער.
מיט וואס איז דער בילד טרייענגל נומער? ווייל עס ליגט און א שעיפ פון א טרייענגל און סאיז 10? די רעכטע זייט פונעם טרייענגל מצד זיין מקום פארנעמט מער פון פיר. ממילא רעפרעזענט דער 'בילד' נישט קיין באמת קיין טרייענגלער נומער.
- מי אני
- שריפטשטעלער

- הודעות: 5784
- זיך רעגיסטרירט: פרייטאג אקטאבער 05, 2018 4:32 pm
- האט שוין געלייקט: 12391 מאל
- האט שוין באקומען לייקס: 8057 מאל
וואס איך קלער די מושכל ראשון איז, איז מכח ווייל אלע 8 צוזאמען שטעלן דאס אויס צו א סקווער מיינוס 1 - נישט אז יעדעס פּאָר פון טרייענגעלס שאפט א סקווער. וא״כ קלערט מען אז דאס ארבעט אז זיי אלע גייען ארום און ארום א פונקט ביז זיי פילן עס אָן און דארט איז וואו די איבעריגע פונקט גייט.
יעדעס טרייענגולער נומער איז אַן עקוועלעטערל טרייענגעל אין טערמינען פון וויפיל פינטעלעך עס האט אויף יעדעס זייט - אלעמאל דאס זעלבע. דא איז עס טאקע אויסגעשטעלט אזוי אז די פּינטעלעך אויף די עדזשעיסענט און אפּאזיט זייטן זענען נענטער ווי די אויסגעשטעלט אויף די היפּאַטענוס, וממילא זענען זיי דא א רייט איסאַסעליִס טרייענגעל. ער שטעלט זיי אזוי אויס די טרייענגולער נומערן דא אלס איסאַסעליִס טרייענגעלס, וויבאלד איה״נ אז יעדעס טרייענגולער נומער איז אַן עקוועלעטערל טרייענגעל, אבער דאס גייט פּאַסן אין די עריע פונעם סקווער נומער וואו איך קום אָן צום סוף, וואו יעדעס פּינטעל איז 45⁰ ביחס באלכסון צו אנדערע.
יעדעס טרייענגולער נומער איז אַן עקוועלעטערל טרייענגעל אין טערמינען פון וויפיל פינטעלעך עס האט אויף יעדעס זייט - אלעמאל דאס זעלבע. דא איז עס טאקע אויסגעשטעלט אזוי אז די פּינטעלעך אויף די עדזשעיסענט און אפּאזיט זייטן זענען נענטער ווי די אויסגעשטעלט אויף די היפּאַטענוס, וממילא זענען זיי דא א רייט איסאַסעליִס טרייענגעל. ער שטעלט זיי אזוי אויס די טרייענגולער נומערן דא אלס איסאַסעליִס טרייענגעלס, וויבאלד איה״נ אז יעדעס טרייענגולער נומער איז אַן עקוועלעטערל טרייענגעל, אבער דאס גייט פּאַסן אין די עריע פונעם סקווער נומער וואו איך קום אָן צום סוף, וואו יעדעס פּינטעל איז 45⁰ ביחס באלכסון צו אנדערע.
- מי אני
- שריפטשטעלער

- הודעות: 5784
- זיך רעגיסטרירט: פרייטאג אקטאבער 05, 2018 4:32 pm
- האט שוין געלייקט: 12391 מאל
- האט שוין באקומען לייקס: 8057 מאל
איה"נ. די שׁעיפּס בלייבן טרייענגעלס. זיי ווערן נאר "געסטרעטשט" פון זיין מעיקרא עקווילעטערעל טרייענגעלס אין צו רייט איסאַסעליִס טרייענגעלס, כדי צו פּאסן אין די סקווער וואו די פּינטעלעך ווערן בהכרח באלכסון 45⁰ ווי די היפּאטענוס פונעם רייט איסאַסעליִס טרייענגעלס. אין אזא פאל פרעגט ער צו די איבעריגע פּינטל איז דוקא אינדערמיט.
-
זיצער
- מאנשי שלומינו

- הודעות: 39
- זיך רעגיסטרירט: פרייטאג מערץ 31, 2023 4:02 pm
- האט שוין געלייקט: 35 מאל
- האט שוין באקומען לייקס: 55 מאל
פשוט צי מסביר זיין פארוואס 8 טרייענגלער נומערן פלאס איינס מוז ווערן אן אדד סקווער, קען מען מסביר זיין קוקענדיג פארקערט, וויאזוי מאכט פון א סקווער אכט טרייענגלס.
( כבין נישט מסביר דא פארוואס די עקסטרע דאט דארף נישט גיין אינדערמיט, נאר די הנחה פשוטה וואס ער האט אראפגעלייגט פאראויס , פארוואס סאיז אזוי)
צו שניידען א סקווער פאר אכט טרייענגלער , מוז יעדע טרייענגל זיין האלב פון די לענג פון די סקווער מיינוס איינס, בלייבט בהכרח איבער איינס אינדערמיט. און בהכרח דארף עס זיין אדד.
פון אן איווען סקווער איז נישט שייך ארויסצונעמען עקווילעטערעל טרייענגעלס.
האלב מיין איך נישט די טרייענגל נומער , נאר יעדע זייט פונעם טרייענגל איז האלב פון די לענג פון די סקווער מינוס איינס
למשל, די סקווער פון 11×11 וועט די טרייענגלס זיין 15 וואס איר לענג איז 5, דאס איז 11 מינוס 1, צעטיילט און האלב.
זעה בילד דא

https://i.stack.imgur.com/Y3gel.gif
( כבין נישט מסביר דא פארוואס די עקסטרע דאט דארף נישט גיין אינדערמיט, נאר די הנחה פשוטה וואס ער האט אראפגעלייגט פאראויס , פארוואס סאיז אזוי)
צו שניידען א סקווער פאר אכט טרייענגלער , מוז יעדע טרייענגל זיין האלב פון די לענג פון די סקווער מיינוס איינס, בלייבט בהכרח איבער איינס אינדערמיט. און בהכרח דארף עס זיין אדד.
פון אן איווען סקווער איז נישט שייך ארויסצונעמען עקווילעטערעל טרייענגעלס.
האלב מיין איך נישט די טרייענגל נומער , נאר יעדע זייט פונעם טרייענגל איז האלב פון די לענג פון די סקווער מינוס איינס
למשל, די סקווער פון 11×11 וועט די טרייענגלס זיין 15 וואס איר לענג איז 5, דאס איז 11 מינוס 1, צעטיילט און האלב.
זעה בילד דא

https://i.stack.imgur.com/Y3gel.gif
רעדאגירט געווארן צום לעצט דורך 8 אום זיצער, רעדאגירט געווארן 0 מאל בסך הכל.
-
זיצער
- מאנשי שלומינו

- הודעות: 39
- זיך רעגיסטרירט: פרייטאג מערץ 31, 2023 4:02 pm
- האט שוין געלייקט: 35 מאל
- האט שוין באקומען לייקס: 55 מאל
און אויב איז מיין חשבון וואס כהאב געשריבן פריער אויסגעהאלטן, איז די חידה טאקע נישט בלויז א מושכל ראשון, נאר איך קום פון דארט, און די שאלה איז צו מען אנדערש מסדר זיין די שעיפס און צוריקומען צום אריגינעלן סקווער
לויט פריער דערמאנט, איז די שורה נישט ממש ריכטיג, עס איז ריכטיג אויב מקומט גלייך פון עקווילעטערעל טרייענגלסזיי ווערן נאר "געסטרעטשט" פון זיין מעיקרא עקווילעטערעל טרייענגעלס אין צו רייט איסאַסעליִס טרייענגעלס
- מי אני
- שריפטשטעלער

- הודעות: 5784
- זיך רעגיסטרירט: פרייטאג אקטאבער 05, 2018 4:32 pm
- האט שוין געלייקט: 12391 מאל
- האט שוין באקומען לייקס: 8057 מאל
ייש״כ!
יא יא, איך קום פון די עקוועלעטערל טרייענגעלס מעיקרא מיט וואס מ׳הייבט אָן. און ווי איך פארשטיי, ווייזט דאס וואס דו ברענגסט ארויס אז איך בין גערעכט מיט׳ן אפלערנען דעם מושכל ראשון: די פיר משלים ווייזן, ווען מען גייט צוריקצווועגס ווי דו ווייזט, ווי די טרייענגעלס ווערן געשאפן פון דאס ארומגיין א צענטראלע פונקט (ואפשר דה״ה ג״כ באיטערעישאנס). וממילא איז די שאלה צי מ׳קען דאס ענדגילטיג אויסשטעלן און טיילן אנדערש.
עס איז אויך מן הראוי לציין אז אין די משלים וואס דו צייכענסט צו, וואו מ׳הייבט אָן פונעם סקווער און דערנאך מאכט מען טרייענגעלס, אז אלע טרייענגעלס וואס ווערן געמאכט זענען (בהכרח) רייט איסאַסיליִס טרייענגעלס; אפילו פון אַן אַדד סקווער (די משלים וואס דו ברענגסט צו).
ומענין לענין באותו ענין דערמאנט דאס פון וואס דר. וויקטאר בּלאַזשאָ זאגט איבער וויאזוי מאטעמאטישע פּרוּפס גייען צו אין דזשיאמעטרי כהיום, לעומת די קאַנסטראָקשענס וואס די יוונים האבן געמאכט:
יא יא, איך קום פון די עקוועלעטערל טרייענגעלס מעיקרא מיט וואס מ׳הייבט אָן. און ווי איך פארשטיי, ווייזט דאס וואס דו ברענגסט ארויס אז איך בין גערעכט מיט׳ן אפלערנען דעם מושכל ראשון: די פיר משלים ווייזן, ווען מען גייט צוריקצווועגס ווי דו ווייזט, ווי די טרייענגעלס ווערן געשאפן פון דאס ארומגיין א צענטראלע פונקט (ואפשר דה״ה ג״כ באיטערעישאנס). וממילא איז די שאלה צי מ׳קען דאס ענדגילטיג אויסשטעלן און טיילן אנדערש.
עס איז אויך מן הראוי לציין אז אין די משלים וואס דו צייכענסט צו, וואו מ׳הייבט אָן פונעם סקווער און דערנאך מאכט מען טרייענגעלס, אז אלע טרייענגעלס וואס ווערן געמאכט זענען (בהכרח) רייט איסאַסיליִס טרייענגעלס; אפילו פון אַן אַדד סקווער (די משלים וואס דו ברענגסט צו).
ומענין לענין באותו ענין דערמאנט דאס פון וואס דר. וויקטאר בּלאַזשאָ זאגט איבער וויאזוי מאטעמאטישע פּרוּפס גייען צו אין דזשיאמעטרי כהיום, לעומת די קאַנסטראָקשענס וואס די יוונים האבן געמאכט:
Today, the issue of diagram fallacies is taken to show how dangerous it is to rely on visual and intuitive assumptions. The solution is to purge geometry of any kind of reasoning based on diagrams. In the late 19th century this view was expressed forcefully by leading geometers, and it has remained the mainstream view ever since. “A theorem is only proved when the proof is completely independent of the diagram,” as Hilbert said for example. Instead of relying on pictures, geometry must be made to proceed through purely logical deduction
-
זיצער
- מאנשי שלומינו

- הודעות: 39
- זיך רעגיסטרירט: פרייטאג מערץ 31, 2023 4:02 pm
- האט שוין געלייקט: 35 מאל
- האט שוין באקומען לייקס: 55 מאל
יא זענען רייט איסאסילעס טרייענגלס און שיעפ, אבער דאך עקווילעטערעל טריינעגלס אין מספר, וואס איז נישט קיין סתירה (מיינע ערשטע תשובות האבער געמיינט אז סאיז איז. זעט אויס איך ניץ נאך חכמת יוונים נישט,19th סענטרי)
סקוקט אויס ווען איך באניץ מיר מיט ווערטער למשל איסאַסיליִס, ווי איך קען די ווארט שוין יארן.. נעכטן נישט געהאט קיין מושג וואס דאס מיינט, היינט ניץ איך עס. אזוי איז ביי אלע זאכן, הערסט מענטשן רעדן מיט קאנפעדענט און א נושא, און די שפירסט ביסט נישט דערין. (ניין איך קען נישט,און בין נאכנישט,אנגעקומען צו פארשטיין אפס קצהו פון מי אני. )
נאר עס איז מיר שווער צו פארשען מי אני'ס ענגלישע טערמינען געשריבן און אידיש ווייל איך קען עס נישט,גוגלען דורך קאפי פעסט, דאך איז עס גוט ווייל איך קען עס בעסער פראנאנסען דערנאך
סקוקט אויס ווען איך באניץ מיר מיט ווערטער למשל איסאַסיליִס, ווי איך קען די ווארט שוין יארן.. נעכטן נישט געהאט קיין מושג וואס דאס מיינט, היינט ניץ איך עס. אזוי איז ביי אלע זאכן, הערסט מענטשן רעדן מיט קאנפעדענט און א נושא, און די שפירסט ביסט נישט דערין. (ניין איך קען נישט,און בין נאכנישט,אנגעקומען צו פארשטיין אפס קצהו פון מי אני. )
נאר עס איז מיר שווער צו פארשען מי אני'ס ענגלישע טערמינען געשריבן און אידיש ווייל איך קען עס נישט,גוגלען דורך קאפי פעסט, דאך איז עס גוט ווייל איך קען עס בעסער פראנאנסען דערנאך
רעדאגירט געווארן צום לעצט דורך 8 אום זיצער, רעדאגירט געווארן 0 מאל בסך הכל.
-
זיצער
- מאנשי שלומינו

- הודעות: 39
- זיך רעגיסטרירט: פרייטאג מערץ 31, 2023 4:02 pm
- האט שוין געלייקט: 35 מאל
- האט שוין באקומען לייקס: 55 מאל
נאכן נישט פארשטיין וואס די שרייבסט, האבעך געהאט א קלאץ קשיא, וואו איז שייך אז די עריע איז פיניט, איך לייג דאך אייביג צו נאך און נאך וועט עס ווערן גרעסער און גרעסער.א קאטש סנויפלעיק א טרייענגעל וואס נאכדעם יעדע (גראדע) זייט צוטייל איך אין דריי און איך לייג צו נאך א חלק א דריטל, און איך בייג ארויף די מיטעלסטע צוויי חלקים. איך טוה דאס נאכדעם איבער און איבער (זעה בילד אין לינק). עס וועט אויסקומען אז די שעיפ, א סנויפלעיק, וועט האבן א פיניט עריע אבער אן אינפיניט פערימעטער.
נאכן ליינען אביסל אין אנקומען צו נייע מושגים וואס דאס מיינט קאנווערדשען און דייווערדשזן (מיין איך אז ) כ'פארשטיי אז פיניט מיינט נישט אז די עריע וועט אויפהערן ערגעץ וואו וואקסן, נאר די וואוקס (די טאטעל ) איז מוגבל זיך צו האלטן בתוך א דיפיינט עריע, אבער אה"נ די פיינעל "פינקטליכע" עריע און נישט באוויסט, אלעס וואס איך ווייס איז אז דער סנופלעיק איז מוגבל צו 8/5 אויף די ארגינעלע עריע
אויב דאס איז פשט. פארוואס איז דער גרויסער חידוש דא? יעדע זאך וואס איך עדד צו איפעניט מאל מיט א סיריס (לכאורה סעריע, נאר מיר פרובירן זיך צו האלטן ענגליש מיט אידישע, בוכשטאבן) וואס איז א פרעקשן ווייניגער פון איינס, איז די עריע פיניט בעת די פרעמירטער אינפיניט
רעדאגירט געווארן צום לעצט דורך 2 אום זיצער, רעדאגירט געווארן 0 מאל בסך הכל.


